java 语言的 安装、介绍;语法、流程控制、数组、javaBean 等知识,可以查询上上一个内容
java 语言的 String、StringBuilder、集合、对象和类 进阶、窗体 等知识,可以查阅上一个内容
API (Application Programming Interface) 应用程序编程接口;提供了已经预装的一些类和方法
所有的类都继承自 Object 类,都继承了来自 Object 提供的类方法;

toString();
默认情况下,toString() 方法会返回对象的类名,后跟符号 @ 和对象的哈希码的无符号十六进制表示;(不严谨的说是哈希处理过后的内存地址)
public class testing {
public static void main(String[] args) {
C c = new C();
// 使用打印语句打印对象名时,源码层面是默认调用该对象的 .toString() 方法
System.out.println(c);
System.out.println(c.toString()); // 默认返回 包名+类名(全类名)@哈希码
}
class C {}效果展示

这个字符串并不一定对于每个对象的实际内容都是有意义的,因为它没有提供关于对象状态的详细信息,所以通常情况下,可以根据自己的需要重写 toString() 方法
public class testing {
public static void main(String[] args) {
C c = new C();
System.out.println(c);
System.out.println(c.toString());
}
class C {
@Override
public String toString() {
return "重写后的 toString()";
}
}效果展示

但在 Java 类中覆盖 toString() 方法的主要目的是为对象提供一个清晰、有意义的字符串表示形式,以便于调试、日志记录和代码可读性。IDEA 对 toString(); 已经考虑过,可以直接通过 IDEA 编辑器生成对应的 toString() 代码

效果展示

例如 ArrayList 类,就已经重写了 toString() 方法,实现打印呈现数组效果。如果一个类打印的不是初始地址信息,那么它大概率就是重写了该方法
import java.util.ArrayList;
public class testing {
public static void main(String[] args) {
ArrayList<String> list = new ArrayList<>();
list.add("a");
list.add("b");
list.add("c");
System.out.println(list);
}
}效果展示

equals(Object obj);
指示其他对象是否与此对象 “相等”。Object类 中的 equals 方法,默认比较的是对象的内存地址
public class equalsDemo {
public static void main(String[] args) {
T t = new T("张三");
T d = new T("张三");
System.out.println(t == d); // false
// equals 底层默认原理很简单 为 return (this == obj) 效果基本同上
System.out.println(t.equals(d)); // false
}
}
class T {
String name;
public T(String name) {
this.name = name;
}
}效果展示

查看 equals 源码不难发现,Object 的 equals 的功能只是this == obj,似乎是 java 定了一个规则,方便子类去重写
因此,父类 equals 方法基本就是为了给子类重写,通过自身业务制作 equals 方法,以便子类定制比较规则
class Student {
String name;
int age;
public Student(String name, int age) {
this.name = name;
this.age = age;
}
@Override
// 根据自身业务重写 equals 方法
public boolean equals(Object obj) {
// 判断是否为 Student 类 (同时实例化 Student 类)
if(obj instanceof Student t){
// 进行逐个比较
return this.age == t.age && this.name.equals(t.name);
}
return false;
}
}public class equalsDemo {
public static void main(String[] args) {
Student t = new Student("张三", 22);
Student d = new Student("张三", 22);
Student c = new Student("张三", 26);
System.out.println(t == d); // false ←比较地址
System.out.println(t.equals(d)); // true
System.out.println(t.equals(c)); // false
}
}效果展示

当然,IDEA 也是提供了自动生成 equals 方法(右键 → 生成..),智能生成对应 equals 的比较操作
class Student {
String name;
int age;
public Student(String name, int age) {
this.name = name;
this.age = age;
}
@Override // IDEA 生成的 equals 代码
public boolean equals(Object o) {
// 判断地址是否相同
if (this == o) return true;
// getClass() 的对比是两个对象的字节码文件对比
// 例如返回值: class cn.smmcat.object.Student
// 如果字节码不同,意味着类型不相同 直接返回 false
if (o == null || getClass() != o.getClass()) return false;
// 代码能走到这说明类型相同 可做强转
Student student = (Student) o;
// 逐个成员值进行比较
return age == student.age && Objects.equals(name, student.name);
}
}其他内容
Objects 是 Object 的子类(JDK 1.7开始)Objects.equals() 是静态方法

它实际调用的仍然是比较的类中所编写的 equals 方法;
但它的 equals 会先进行非空判断,避免空指针异常,再进行 equals 比较。
空指针异常:null.equals(obj)
另外 Objects.isNull(Object obj) 用于判断变量是否为 null
Math 类提供了执行基本数学运算的方法,它是一个工具类(没有构造函数,所有方法被 static 修饰),具体方法查阅文档
Math.abs(Int a); 绝对值
返回该数值的 int 绝对值(转正整数)
注意:若 a 是 Integer.MIN_VALUE(-2³¹),结果仍为负数(溢出问题)
Math.ceil(double a) 向上取整
将小数部分剔除,只要存在小数部分则整数部分 +1,返回值为 double
Math.ceil(2.3)→3.0Math.ceil(-2.3)→-2.0(注意负数方向)
Math.floor(double a) 向下取整
将小数部分剔除,只返回整数部分,返回值为 double
Math.floor(2.7)→2.0Math.floor(-2.7)→-3.0
Math.round(float a) 四舍五入
对浮点数的数值进行四舍五入运算,返回整数 int,若传入的是 double 返回 long
Math.round(double a)返回long(参数为double时)。- 四舍五入规则:当小数部分为
0.5时,向正无穷方向舍入
Math.max(int a, int b) 比较返回较大值
比较两个整数,返回它们之中最大的值,返回整数 int
Math.max 支持所有数值类型(如 double、long)
Math.pow(double a, 次幂运算double b)
返回 a 的 b 次幂运算,返回值 double
Math.pow(2, 3)→8.0- 负数的非整数次幂可能返回
NaN(如Math.pow(-2, 0.5))
Math.random() 随机小数 0-1区间
返回为 double 的随机值,范围 0.0 ≤ x < 1.0(不含 1.0)
底层调用 Random.nextDouble(),建议直接使用 Random 类更灵活
System 类的功能都是静态的。也是工具类,都是直接类名调用即可

exit() 说明
System.exit(); 在终止虚拟机时可以传一个状态码参数,0 表示正常退出,其他值表示异常终止
currentTimeMillis() 说明
返回的值是 1970年1月1日0时0分0秒 到现在所经历的毫秒值,又叫计算机中的时间原点,是 C语言 生日
arraycopy() 说明
通过该方法,可以拷贝数组,底层通过本地方法(Native Code)实现,性能远高于手动循环复制,但是注意拷贝的方式是浅拷贝
public class equalsDemo {
public static void main(String[] args) {
int[] a = {1, 2, 3, 4};
int[] b = {5, 6, 7, 8};
// a 数组中 1 - 2 下标的内容覆盖 b 下标 0 起始往后的位置
System.arraycopy(a, 1, b, 0, 2);
System.out.println(Arrays.toString(b)); // [2, 3, 7, 8]
}
}BigDecimal类 用于解决小数运算中出现不精确的问题
参数
直接传入 double 值仍然会造成精度问题,因此推荐使用 String 数值表示来传参,或者 BigDecimal.valueOf(double val) 传参

常用方法
加法:public BigDecimal add(BigDecimal b);
减法:public BigDecimal subtract(BigDecimal b);
乘法:public BigDecimal multiply(BigDecimal b);
除法:public BigDecimal divide(BigDecimal b,精确几位,舍入方式);
小数精度问题说明
受二进制储存小数的逻辑和的影响,难以直接精确计算小数部分的加减
public class equalsDemo {
public static void main(String[] args) {
System.out.println(0.1 + 0.2); // 0.30000000000000004
}
}BigDecimal 解决方案
通过 BigDecimal 方法传入字符串数值,实现小数的精确计算
public class equalsDemo {
public static void main(String[] args) {
BigDecimal num1 = new BigDecimal("1.44");
BigDecimal num2 = new BigDecimal("1.66");
double d1 = num1.add(num2).doubleValue();
System.out.println(d1); // 3.1
}
}通过 BigDecimal.valueOf(double a) 静态方法也能实现小数的精确计算
import java.math.BigDecimal;
public class bigDecimalDemo {
public static void main(String[] args) {
BigDecimal a = BigDecimal.valueOf(0.2);
BigDecimal b = BigDecimal.valueOf(0.1);
System.out.println(a.add(b).doubleValue()); // 加 0.3
System.out.println(a.subtract(b).doubleValue()); // 减 0.1
System.out.println(a.multiply(b).doubleValue()); // 乘 0.02
System.out.println(a.divide(b).doubleValue()); // 除 2.0
}
}注意事项
BigDecimal 的 divide 方法可能会遇到除不尽的小数时就会抛出一个 ArithmeticException: Non-terminating decimal expansion 异常。
如果使用 divide 方法,最好添加 保留小数位 和 四舍五入 参数。
舍入方式的枚举:RoundingMode.HALF_UP 四舍五入RoundingMode.UP 进一(向上取整)RoundingMode.DOWN 截断(向下取整)
import java.math.BigDecimal;
import java.math.RoundingMode;
public class bigDecimalDemo {
public static void main(String[] args) {
BigDecimal a = BigDecimal.valueOf(0.1);
BigDecimal b = BigDecimal.valueOf(0.03);
// 参数 2:保留 4 位小数
// 参数 3:采用 四舍五入 舍入方式
System.out.println(a.divide(b, 4, RoundingMode.HALF_UP).doubleValue()); // 3.3333
}
}BigDecimal 类操作过的对象返回值仍然是 BigDecimal,因此不能被视为数值,也不能被 Math 操作。
这个时候需要使用到它提供的 doubleValue() 方法返回实际的 double 数值即可
import java.math.BigDecimal;
public class bigDecimalDemo {
public static void main(String[] args) {
BigDecimal a = BigDecimal.valueOf(0.1);
BigDecimal b = BigDecimal.valueOf(0.3);
// Math.abs(a.subtract(b)); 报错:类型不匹配
System.out.println(Math.abs(a.subtract(b).doubleValue())); // 0.2
}
}将基本数据类型包装成类(引用数据类型),使之支持调用对应的类方法;但从 JDK 5 版本开始已经实现自动拆装箱

使用方式
‘Integer(int)’ 自 JDK 版本 9 起已弃用并标记为移除
包装类的使用有手动装箱和手动拆箱环节,例如 int :
- 手动装箱:调用提供的 构造 或 静态 方法,手动将基本数据类型包装成类
int a = 100;
Integer num = new Integer(a); // 通过构造方法包装(过时 不推荐)
Integer num1 = Integer.valueOf(a); // 通过静态方法- 手动拆箱:通过
intValue()以int类型返回该Integer的值
Integer num = Integer.valueOf(100); // 通过静态方法
int num2 = num.intValue(); // 返回 int 值 -> 100- 自动拆装箱:从
JDK5版本开始,已经实现自动装箱/拆箱操作,无需考虑转换问题
int a = Integer.valueOf(233); // 自动拆箱
Integer b = 666; // 自动装箱提供功能
封装成包装类的基本数据类型就有了对应包装类提供的方法,这里例如 Integer 提供的方法例如:
public static String toBinaryString(int i)转二进制public static String toOctalString(int i)转八进制public static String toHexString(int i)转十六进制public static int parseInt(String s)将 数字字符串 转为 数字
int num = 10;
String a = Integer.toBinaryString(num); // 转二进制表示 1010
String b = Integer.toOctalString(num); // 转八进制表示 12
String c = Integer.toHexString(num); // 转十六进制表示 a
int d = Integer.parseInt("1") + 4; // 转为 int 数值 并执行 数字运算 -> 5注意事项
使用 Integer 类型变量接收整数的数据时,会自动调用 Integer.valueOf() 方法进行封装,这是自动装箱的逻辑。


但自动装箱时,如果数据范围是 -128 ~ 127 之内,则使用的是缓存中存在的 Integer 对象地址,当相同传入的数据进行比较,地址相同,它们比较为 true,
但如果数据范围是 -128 ~ 127 之外,会重新创建新的对象。此时它们的对象地址不同,如果进行比较则为 false
public class bigDecimalDemo {
public static void main(String[] args) {
Integer a = 127;
Integer b = 127;
System.out.println(a == b); // true
Integer c = 129;
Integer d = 129;
System.out.println(c == d); // false
}
} Long 等包装类也有类似这样的缓存机制
Arrays 类用于数组操作的工具类,专门用于操作数组的元素

toString() 转带数组格式的字符串
该方法重写了 Object 的 toString 方法,意为了以字符串更简洁的展示数组的元素
import java.util.Arrays;
public class bigDecimalDemo {
public static void main(String[] args) {
int[] numList = {1, 2, 3, 4, 5, 6};
// 打印 toString 返回的数组格式字符串
System.out.println(Arrays.toString(numList));
}
}效果展示

equals(Object[] a,Object[] b) 比较两个数组内容是否相同
该方法重写了 Object 的 toString 方法,意为了比较两个数组的内容是否相同
import java.util.Arrays;
public class bigDecimalDemo {
public static void main(String[] args) {
int[] numList = {1, 2, 3, 4};
int[] anotherList = {1, 2, 3, 4};
int[] nextList = {1, 2, 4, 4};
// Arrays.equals 比较数组每个内容是否一致
System.out.println(Arrays.equals(numList, anotherList)); // true
System.out.println(Arrays.equals(numList, nextList)); // false
}
}效果展示

binarySearch(int[] a, int val) 查找索引
使用二分搜索法去查询指定元素在数组中索引的下标位置(二分查找法:需要保证数组的元素是排好序的)
import java.util.Arrays;
public class Demo {
public static void main(String[] args) {
int[] intList = {1, 3, 5, 7};
System.out.println(Arrays.binarySearch(intList, 3)); // 1
int[] intList2 = {3, 5, 1, 7};
// 当使用 binarySearch 去查找乱序的数组中值时 会出现意料之外的结果
System.out.println(Arrays.binarySearch(intList2, 1)); // -1
}
}sort() 对数组默认升序排序
改变数组内所有元素的位置,默认进行升序排序
public class bigDecimalDemo {
public static void main(String[] args) {
int[] intList = {3, 41, 1, 1, 24, 5, 52, 32};
Arrays.sort(intList);
System.out.println(Arrays.toString(intList)); // [1, 1, 3, 5, 24, 32, 41, 52]
}
}【拓展】二分查找
二分查找(Binary Search)是一种在有序数组中查找特定元素的搜索算法。
搜索过程从数组的中间元素开始,如果中间元素正好是目标值,则搜索过程结束;
如果目标值大于或小于中间元素,则在数组大于或小于中间元素的那一半中查找,而不是查找整个数组。
通过每次排除一半的元素,这样可以每次都能将搜索范围减半,这就是二分查找的思想。

代码实现效果如下
public static int BinarySearch(int[] arr, int target) {
// 数组没有内容 直接返回 -1
if (arr == null || arr.length == 0) {
return -1;
}
// min 和 max 用于跟踪要搜索的数组部分的起始和结束索引
int min = 0;
int max = arr.length - 1;
// 中心点 查找的目标
int mid;
// 当 min 和 max 没有重叠时,继续搜索
while (min <= max) {
// 计算中间索引
mid = min + (max - min) / 2;
// 如果中间元素正好是目标值,则返回该元素的索引
if (arr[mid] == target) {
return mid;
}
// 如果中间元素小于目标值,则调整 min 索引来搜索数组的右半部分
if (arr[mid] < target) {
min = mid + 1;
}
// 如果中间元素大于目标值,则调整 max 索引来搜索数组的左半部分
if (arr[mid] > target) {
max = mid - 1;
}
}
// 如果循环结束还没找到目标值,则返回 -1 表示未找到
return -1;
}调用演示
public class bigDecimalDemo {
public static void main(String[] args) {
int[] arr = {13, 23, 35, 64, 75, 96, 117}
// 二分查找
System.out.println(BinarySearch(arr, 96)); // 5
}
}【拓展】正则表达式
本质上说 正则表达式 就是一个字符串,来验证其他字符串。规则可参考如下笔记:正则表达式



使用 .matches(String telRegex) 验证内容
public class RegexDemo {
public static void main(String[] args) {
// 手机号验证规则
String telRegex = "1[3-9]\\d{9}";
// 验证环节
System.out.println("1203QDK1334".matches(telRegex)); // false
System.out.println("17620334513".matches(telRegex)); // true
}
}【拓展】实现内容爬取
使用 Pattern 类的 complie 静态方法去传入正则规则,再使用 Matcher 去获取符合正则要求的内容,
先使用 find 方法验证是否还存在符合要求的内容,再使用 group 抽出符合要求的内容,以此循环。
find 和 group 是实现类似迭代器的效果,当使用了 find 后,group 才能获取数据,find() 用于定位下一个匹配项,group() 依赖于 find() 的成功调用,二者结合可以像迭代器一样遍历所有匹配项
public class PatternDemo {
public static void main(String[] args) {
// 需要进行爬取的文章
String data = "腐喵学校学摸鱼,热线电话:17680444041、15911011101。" +
"邮箱:smmcat@qq.com,座机电话:010-12321022," +
"热线电话:400-111-1111;搞快报名吧~";
// 将正则表达式封装成 Pattern 对象
Pattern pattern = Pattern.compile(regex);
// 传入需要爬取的文章
Matcher matcher = pattern.matcher(data);
ArrayList<String> strList = new ArrayList<>();
// 循环查找 若无内容 find 返回 false
while (matcher.find()) {
// 提取符合规则的内容
String str = matcher.group();
strList.add(str);
}
System.out.println(strList);
}
}效果展示

时间类分为 JDK8 之前有的,和 JDK8 新增的,内容如下:

Date 类
Date 为日期和时间类,提供了例如 getTime 和 setTime 功能

import java.util.Date;
public class DateDemo {
public static void main(String[] args) {
// 当前时间 封装成 Date对象
Date date = new Date();
System.out.println(date);
// 把时间毫秒值转换成 Date对象
Date date1 = new Date(0L);
System.out.println(date1);
// 获取时间戳
System.out.println(date.getTime());
System.out.println(date1.getTime());
// 设置毫秒值
date.setTime(10000L);
System.out.println(date.getTime());
}
}效果展示

SimpleDateFormat 类
用于时间格式化的类,优化了时间样式的展示

SimpleDateFormat 的构造方法允许通过传入字符串指定展示日期格式,标识如下:

通过 SimpleDateFormat 类,可以将 Date类 的对象转为自定义样式的时间字符串进行显示
import java.text.SimpleDateFormat;
import java.util.Date;
public class DateDemo {
public static void main(String[] args) {
// 当前时间 封装成 Date对象
Date date = new Date();
System.out.println(date);
// 默认展示的格式
SimpleDateFormat sdf1 = new SimpleDateFormat();
System.out.println(sdf1.format(date));
// 自定义展示的格式
SimpleDateFormat sdf2 = new SimpleDateFormat("yyyy年MM月dd日 HH:mm:ss");
System.out.println(sdf2.format(date));
}
}效果展示

同样,也可以通过 SimpleDateFormat 类,将指定规则的时间字符串转为 Date类 对象
import java.text.ParseException;
import java.text.SimpleDateFormat;
import java.util.Date;
public class DateDemo {
public static void main(String[] args) throws ParseException {
String dateStr = "2025年02月20日";
// 指定接收规则
SimpleDateFormat sdf = new SimpleDateFormat("yyyy年MM月dd日");
// 通过 parse() 方法返回 Date 对象
Date date = sdf.parse(dateStr);
// 显示时间戳
System.out.println(date.getTime());
}
}效果展示

使用了 throws ParseException 语法用于捕获异常
Calendar 类提供了日历类的功能
获取系统此刻时间对应的日历,通过它可以单独获取、修改时间中的年、月、日、时、分、秒数据

Calendar 类的常用方法

案例演示
通过 .get(intValues) 传入对应的数值。为了方便阅读在 Calendar 类中也提供对应数值绑定的静态常量的解释
| 常量名 | 值 | 说明 |
|---|---|---|
Calendar.YEAR | 1 | 年份字段 |
Calendar.MONTH | 2 | 月份字段(0 表示 1 月) |
Calendar.DATE | 5 | 日期字段(月中的某一天) |
Calendar.DAY_OF_MONTH | 5 | 同 Calendar.DATE |
Calendar.DAY_OF_YEAR | 6 | 年份中的某一天 |
Calendar.DAY_OF_WEEK | 7 | 星期几(1 表示星期日) |
Calendar.DAY_OF_WEEK_IN_MONTH | 8 | 当前月中的第几个星期几 |
Calendar.WEEK_OF_YEAR | 3 | 当前年份中的第几周 |
Calendar.WEEK_OF_MONTH | 4 | 当前月份中的第几周 |
Calendar.HOUR | 10 | 12 小时制的小时字段 |
Calendar.HOUR_OF_DAY | 11 | 24 小时制的小时字段 |
Calendar.MINUTE | 12 | 分钟字段 |
Calendar.SECOND | 13 | 秒字段 |
Calendar.MILLISECOND | 14 | 毫秒字段 |
import java.text.ParseException;
import java.util.Calendar;
public class TestDemo {
public static void main(String[] args) throws ParseException {
// Calendar 是抽象类 需要其子类去实现
Calendar calendar = Calendar.getInstance();
System.out.println(calendar.get(Calendar.YEAR)); // 2025 (年)
System.out.println(calendar.get(Calendar.MONTH)); // 2 (月)
System.out.println(calendar.get(Calendar.DAY_OF_MONTH)); // 5 (日)
System.out.println(calendar.get(Calendar.HOUR_OF_DAY)); // 18 (时)
System.out.println(calendar.get(Calendar.MINUTE)); // 53 (分)
System.out.println(calendar.get(Calendar.SECOND)); // 0 (秒)
}
}通过 .set(int field,int value) 修改日历类中的某个字段或者多个字段。
import java.util.Calendar;
public class TestDemo {
public static void main(String[] args) throws ParseException {
Calendar calendar = Calendar.getInstance();
calendar.set(Calendar.YEAR, 2026); // 单个修改
calendar.set(2026, Calendar.APRIL, 12); // 修改多个(有对应规则)
System.out.println(calendar.get(Calendar.YEAR)); // 2026
}
}set 可以传入多个数据实现自由配置

通过 .add(int field,int amount) 为某个字段 增加/减少 指定的值
public class TestDemo {
public static void main(String[] args) throws ParseException {
Calendar calendar = Calendar.getInstance();
System.out.println(calendar.get(Calendar.YEAR)); // 2025 (年)
calendar.add(Calendar.YEAR, 1); // 相当于 年的值加 1 => 2026
}
}JDK8版本后新增功能

功能概述

区别
JDK8 版本前的时间对象例如:Date(),当修改时间对象信息后,就会改变之前的事件对象,而JDK8 版本后的时间对象为不可变对象,当修改后都会返回一个新的时间对象,不影响当前时间对象
public static void main(String[] args) throws ParseException {
// JDK8 之前的时间对象
Date date = new Date();
System.out.println(new SimpleDateFormat().format(date)); // 2025/3/10 下午10:52
date.setTime(1000);
System.out.println(new SimpleDateFormat().format(date)); // 1970/1/1 上午8:00
// JDK8 版本之后的时间对象 返回对象接收 不影响原对象数据
LocalDateTime now = LocalDateTime.now(); // 2025-03-10T22:55:34.334938500
System.out.println(now);
LocalDateTime before = now.withYear(2008);
System.out.println(before); // 2008-03-10T22:55:34.334938500
System.out.println(now); // 2025-03-10T22:56:21.609711900
}
LocalDate 代表本地日期(年、月、日、星期)
LocalTime 代表本地时间(时、分、秒、纳秒)
LocalDateTime 代表本地日期、时间(年、月、日、星期、时、分、秒、纳秒)
想获取当前时间使用 .now();想获取指定时间则使用 .of(...)
import java.time.LocalDate;
import java.time.LocalDateTime;
import java.time.LocalTime;
public class TestDemo {
public static void main(String[] args) throws ParseException {
LocalTime ld = LocalTime.now();
System.out.println(ld); // 15:16:57.300794600
LocalDate lt = LocalDate.now();
System.out.println(lt); // 2025-03-13
LocalDateTime ldt = LocalDateTime.now();
System.out.println(ldt); // 2025-03-13T15:16:57.301791200
LocalDateTime ldt2 = LocalDateTime.of(2008, 8, 8, 8, 8);
System.out.println(ldt2); // 2008-08-08T08:08
// 获取当前时间信息
System.out.println(LocalDateTime.now().getMonthValue()); // 当前月(值) 3
System.out.println(LocalDateTime.now().getYear()); // 2025
System.out.println(LocalDateTime.now().getHour()); // 15
}
}LocalDateTime 的方法是 LocalDate 和 LocalTime 的总和,以下是常用方法

LocalDateTime 也提供了写入对应时间数据的方法,但不修改原对象而是返回新对象

修改多个配置用 of ,修改单个使用 with 开头,增加用 plus 开头,减少用 minus 开头的函数
判断指定日期是否在当前对象之前可以使用 isBefore,之后可以使用 isAfter
判断两个时间是否相同使用 equals
DateTimeFormatter 日期格式化
通过 DateTimeFormatter 类,对时间类的内容进行格式化和解析
// 格式化
DateTimeFormatter formatter = DateTimeFormatter.ofPattern("yyyy年M月d日");
System.out.println(formatter.format(LocalDate.now())); // 2025年3月14日
// 解析
String time = "2025年3月14日";
LocalDate parse = LocalDate.parse(time,formatter);
System.out.println(parse); // 2025-03-14Instant 时间戳
Inatant.now() 获取当前时间戳,但是默认获取的时间戳默认获取的时区是UTC
- 可以使用
Instant.ofEpochMilli(毫秒)或者Instant.ofEpochSecond(秒)去指定时间戳距离时间原点的时间

ZoneId 时区
of 用于指定时间类的时区,例如:Instant.now().atZone(ZoneId.of("Asia/Shanghai")).toInstant()
也可以获取系统上默认的时区:ZoneId.systemDefault()
通过 ZoneId.getAvailableZoneIds() 可以获得所有支持时区的 Set<String> 集合,长度为 600

ZonedDateTime 带时区的时间
ZonedDateTime 是 Java 8 引入的日期时间 API 中的一个类,用于表示带有时区的日期和时间。
它结合了 LocalDateTime 和 ZoneId,能够处理不同时区的日期和时间转换。

ZonedDateTime.now():获取当前时区的当前时间。ZonedDateTime.now(ZoneId):获取指定时区的当前时间。ZonedDateTime.of(...):通过指定年、月、日、时、分、秒、纳秒和时区创建ZonedDateTime。
import java.time.ZonedDateTime;
import java.time.ZoneId;
public class ZonedDateTimeDemo {
public static void main(String[] args) {
// 获取当前时区的当前时间
ZonedDateTime now = ZonedDateTime.now();
System.out.println("当前时间: " + now);
// 指定时区获取当前时间
ZonedDateTime nowInNewYork = ZonedDateTime.now(ZoneId.of("America/New_York"));
System.out.println("纽约当前时间: " + nowInNewYork);
// 通过 LocalDateTime 和 ZoneId 创建 ZonedDateTime
ZonedDateTime specificTime = ZonedDateTime.of(2023, 10, 1, 12, 0, 0, 0, ZoneId.of("Asia/Shanghai"));
System.out.println("指定时间: " + specificTime);
}
}
通过 .isAfter 和 .isBefore 也可以实现比较时间效果
isAfter(ZonedDateTime):判断当前时间是否在指定时间之后。isBefore(ZonedDateTime):判断当前时间是否在指定时间之前。isEqual(ZonedDateTime):判断当前时间是否与指定时间相等。
import java.time.ZonedDateTime;
public class ZonedDateTimeDemo {
public static void main(String[] args) {
ZonedDateTime now = ZonedDateTime.now();
ZonedDateTime futureTime = now.plusDays(5);
// 比较时间
if (futureTime.isAfter(now)) {
System.out.println("futureTime 在 now 之后");
}
if (now.isBefore(futureTime)) {
System.out.println("now 在 futureTime 之前");
}
if (now.isEqual(now)) {
System.out.println("now 和 now 相等");
}
}
}
Duration、Period、ChronoUnit 工具类
Duration用于计算两个“时间”间隔(秒、纳秒)Period用于计算两个“日期”间隔(年、月、日)ChronoUnit用于计算两个“日期”间隔
Duration 用于表示两个时间点之间的时间差异,基于秒和纳秒。它适用于处理小时、分钟、秒和纳秒的差异
import java.time.Duration;
import java.time.LocalTime;
public class DurationDemo {
public static void main(String[] args) {
LocalTime startTime = LocalTime.of(10, 0); // 10:00
LocalTime endTime = LocalTime.of(12, 30); // 12:30
// 计算时间差
Duration duration = Duration.between(startTime, endTime);
System.out.println("时间差: " + duration);
// 获取小时、分钟、秒
System.out.println("小时: " + duration.toHours());
System.out.println("分钟: " + duration.toMinutes());
System.out.println("秒: " + duration.getSeconds());
// 增加时间
Duration addedDuration = duration.plusHours(1).plusMinutes(15);
System.out.println("增加 1 小时 15 分钟后的时间差: "
+ addedDuration
);
}
}效果展示

Period 用于表示两个日期之间的差异,基于年、月、日。它适用于处理日期的差异。
import java.time.LocalDate;
import java.time.Period;
public class PeriodDemo {
public static void main(String[] args) {
LocalDate startDate = LocalDate.of(2020, 1, 1);
LocalDate endDate = LocalDate.of(2023, 10, 1);
// 计算日期差
Period period = Period.between(startDate, endDate);
System.out.println("日期差: " + period);
// 获取年、月、日
System.out.println("年: " + period.getYears());
System.out.println("月: " + period.getMonths());
System.out.println("日: " + period.getDays());
// 增加时间
Period addedPeriod = period.plusYears(1).plusMonths(2);
System.out.println("增加 1 年 2 个月后的日期差: " + addedPeriod);
}
}
效果演示

ChronoUnit 是一个枚举类,用于表示时间单位(如天、小时、分钟等)。它通常用于计算两个时间点之间的差异
import java.time.LocalDateTime;
import java.time.temporal.ChronoUnit;
public class ChronoUnitDemo {
public static void main(String[] args) {
LocalDateTime startDateTime = LocalDateTime.of(2023, 1, 1, 10, 0);
LocalDateTime endDateTime = LocalDateTime.of(2023, 10, 1, 12, 30);
// 计算差异
long daysBetween = ChronoUnit.DAYS.between(startDateTime, endDateTime);
long hoursBetween = ChronoUnit.HOURS.between(startDateTime, endDateTime);
long minutesBetween = ChronoUnit.MINUTES.between(startDateTime, endDateTime);
System.out.println("天数差: " + daysBetween);
System.out.println("小时数差: " + hoursBetween);
System.out.println("分钟数差: " + minutesBetween);
}
}
效果演示

递归
递归就是方法直接或者间接调用自身。递归如果没有控制好终止时会出现递归死循环,导致栈内存溢出现象
public class demo {
public static void main(String[] args) {
int result = jc(5); // 120
System.out.println(result);
}
// 计算 num 的阶乘
private static int jc(int num) {
if (num == 1) {
return 1;
} else {
return num * jc(num - 1);
}
}
}运行原理

异常
Java 异常(Exception)是程序运行时发生的非预期事件,它会中断正常的指令流。异常的类型在 java 里面也是类

异常分类(Deepseek提供)
| 类型 | 特点 | 常见示例 |
|---|---|---|
Error | JVM 系统级错误,程序无法处理(通常不捕获) | OutOfMemoryError、StackOverflowError |
Exception | 程序可处理的异常,分为两类: | |
| ↳ Checked | 编译时强制检查(必须处理) | IOException、SQLException |
| ↳ Unchecked | 运行时异常(不强制处理,通常为逻辑错误) | NullPointerException、ArrayIndexOutOfBoundsException |
以下是 Java 中常见异常的表格说明,包含异常名称、触发场景和典型示例:
| 异常名称 | 触发场景 | 示例代码 | 解决方法 |
|---|---|---|---|
| NullPointerException | 尝试访问或调用null对象的成员 | String str = null; str.length(); | 添加非空检查:if(str != null) {...} |
| ArrayIndexOutOfBoundsException | 数组访问越界(索引<0或≥数组长度) | int[] arr = {1,2}; System.out.println(arr[2]); | 检查索引范围:if(index >=0 && index < arr.length) |
| ClassCastException | 不安全的强制类型转换 | Object obj = "hello"; Integer num = (Integer) obj; | 使用instanceof检查:if(obj instanceof Integer) |
| ArithmeticException | 算术运算错误(如除以零) | int x = 5 / 0; | 添加除数检查:if(divisor != 0) {...} |
| NumberFormatException | 字符串转换为数字时格式不符 | int num = Integer.parseInt("abc"); | 捕获异常或正则校验:str.matches("-?\\d+") |
| IllegalArgumentException | 方法接收到非法参数 | List.subList(-1, 3); | 方法入口参数校验 |
| IllegalStateException | 对象状态不符合方法调用要求 | Iterator.next()在hasNext()=false时调用 | 检查对象状态:if(iterator.hasNext()) {...} |
| IndexOutOfBoundsException | 集合/字符串索引越界(List, String等) | String s = "hi"; s.charAt(2); | 同数组越界处理 |
| ConcurrentModificationException | 集合在迭代时被修改(非迭代器的remove()方法) | for(String s : list) { list.remove(s); } | 使用迭代器的remove()或CopyOnWriteArrayList |
| NoSuchElementException | 调用不存在的元素(如空Optional.get()) | Optional.empty().get(); | 使用Optional.orElse()等安全方法 |
| UnsupportedOperationException | 调用不支持的操作(如Arrays.asList()返回不可变列表的add()) | Arrays.asList(1,2).add(3); | 使用可变集合:new ArrayList<>(Arrays.asList(1,2)) |
| FileNotFoundException | 文件路径不存在或不可访问 | new FileInputStream("nonexist.txt"); | 检查文件路径和权限 |
| IOException | I/O操作失败(通用父类) | socket.getInputStream().read()时连接断开 | 资源清理+重试机制 |
| SQLException | 数据库操作错误 | stmt.executeQuery("SELECT * FROM non_exist_table"); | 检查SQL语句+连接状态 |
| ClassNotFoundException | 类加载失败(JVM找不到类文件) | Class.forName("com.example.NonExistClass"); | 检查类路径和依赖 |
| NoClassDefFoundError | 编译时存在但运行时缺少类定义(与ClassNotFoundException区别在于编译阶段) | 运行时删除了已编译依赖的jar包 | 确保运行时类路径完整 |
补充说明:
- 检查型异常(Checked):必须捕获或声明抛出(如
IOException) - 非检查型异常(Unchecked):
RuntimeException的子类,通常由编程错误导致 - Error:系统级错误(如
OutOfMemoryError),通常不可恢复
异常处理机制
try {
// 可能抛出异常的代码
} catch (NullPointerException e) {
// 针对性处理空指针
} catch (IllegalArgumentException e) {
// 处理参数错误
} catch (Exception e) {
// 通用异常处理
logger.error("Operation failed", e);
} finally {
// 资源释放
}| 方法 | 作用 |
|---|---|
e.printStackTrace() | 打印异常堆栈跟踪(调试用) |
e.getMessage() | 获取异常描述信息 |
throw new Exception("msg") | 主动抛出异常 |
自定义异常
class MyException extends Exception {
public MyException(String message) {
super(message); // 调用父类构造
}
}异常说明
- 优先处理具体异常:避免直接捕获
Exception - 早抛出,晚捕获:在合适层级处理异常
- 避免空 catch 块:至少记录日志(如
log.error(e)) - 资源管理:使用
try-with-resources(Java 7+)
Java 异常是程序错误处理的标准化机制,通过 try-catch-finally 结构实现可控的流程中断和恢复,
区分检查型和非检查型异常使错误处理更灵活
编译时异常
编译时的异常是即使你语法正确,但是仍然以为你代码运行时可能存在错误所做的一个异常提示;为了程序的运行严谨,需要提供解决方案。
import java.text.SimpleDateFormat;
import java.util.Date;
public class demo {
public static void main(String[] args) {
int result = jc(5);
System.out.println(result);
SimpleDateFormat sdf = new SimpleDateFormat("yyyy年MM月dd日");
// 即使语法错误 依然提示 未处理 异常: java.text.ParseException
Date date = sdf.parse("2025年12月11日");
System.out.println(date);
}
}import java.text.SimpleDateFormat;
import java.util.Date;
public class demo {
public static void main(String[] args) throws ParseException {
int result = jc(5);
System.out.println(result);
SimpleDateFormat sdf = new SimpleDateFormat("yyyy年MM月dd日");
Date date = sdf.parse("2025年12月11日");
System.out.println(date);
}
}报错提示

异常的默认处理流程
- 虚拟机会在出现异常的代码那里自动的创建一个异常对象:
ArithmeticException - 异常会从方法中出现的点这里抛出给调用者,调用者最终抛出给
JVM虚拟机 - 虚拟机接收到异常对象后,先在控制台直接输出异常信息数据
- 终止 Java 程序的运行
如果异常捕获抓到错误后,将直接结束后续的传递。使程序继续往下执行
public static void main(String[] args) {
try{
// 可能报错的代码
}catch (Exception e){
// Exception 父类实现多态 可以捕获更多错误
// 捕获后的代码
}
}throws 抛出异常
throws 是 Java 中用于 声明方法可能抛出的异常 的关键字,它告诉调用者该方法可能会抛出哪些异常,以便调用者进行相应的处理。
| 用途 | 说明 |
|---|---|
| 声明方法可能抛出的异常 | 方法内部不直接处理异常,而是由调用者处理 |
| 强制调用者处理异常 | 适用于 Checked Exception(如 IOException、SQLException) |
| 提高代码可读性 | 明确方法可能抛出的异常类型,便于维护 |
throws 的基本语法
返回类型 方法名(参数列表) throws 异常类型1, 异常类型2, ... {
// 方法体(可能抛出异常)
}
示例
```java
public void readFile(String filePath) throws FileNotFoundException, IOException {
FileInputStream fis = new FileInputStream(filePath); // 可能抛出 FileNotFoundException
// 其他 IO 操作可能抛出 IOException
}throws 与 try-catch 的区别
| 方式 | 适用场景 | 特点 |
|---|---|---|
throws | 方法内部不处理异常,交给调用者处理 | 适用于 Checked Exception |
try-catch | 方法内部自行处理异常 | 适用于 RuntimeException 或需要立即处理的异常 |
示例
// 方式1:使用 throws 让调用者处理异常
public void methodA() throws IOException {
// 可能抛出 IOException
}
// 方式2:使用 try-catch 自行处理异常
public void methodB() {
try {
// 可能抛出 IOException
} catch (IOException e) {
e.printStackTrace();
}
}业务用途
throws 也适用于主动抛出异常的情况。如果当前代码别人调用时存在可能报错的问题,可以主动 throw 一个错误类,方便他人调用时注意
public class demo {
// 调用方可以选择继续抛出或者使用 try{}catch{} 捕获
public static void main(String[] args) throws Exception {
putAge(-12);
}
public static void putAge(int age) throws Exception {
if (age <= 0 || age > 100) {
throw new Exception("年龄传入有误,需要在 1-100 之间");
}
// 执行传参业务
// ...
System.out.println("完成");
}
}效果展示

也可以通过 try catch 捕获异常,并使用 e.getMessage() 获取报错的消息
public class demo {
// 调用方可以选择继续抛出或者使用 try{}catch{} 捕获
public static void main(String[] args) {
try {
putAge(-12);
} catch (Exception e) {
System.out.println(e.getMessage());
}
}
public static void putAge(int age) throws Exception {
if (age <= 0 || age > 100) {
throw new Exception("年龄传入有误,需要在 1-100 之间");
}
// 执行传参业务
// ...
System.out.println("完成");
}
}效果展示

每个异常的类都不同,因此 catch 只会捕获对应支持的异常的值,当有多个异常需要捕获需要注意最大的异常排后
public static void main(String[] args) {
try {
int x = 5 / 0;
putAge(-12);
} catch (ArithmeticException e) {
System.out.println("运算异常");
} catch (Exception e) {
System.out.println(e.getMessage());
}
}另外,还有 RuntimeException 异常,属于运行时异常。在运行时可能发生的错误,无需声明 throws
public class demo {
public static void main(String[] args) {
try {
putAge(-12);
} catch (RuntimeException e) {
System.out.println(e.getMessage());
}
}
public static void putAge(int age) {
if (age <= 0 || age > 100) {
throw new RuntimeException("传入的值范围不对");
}
// 执行传参业务
// ...
System.out.println("完成");
}
}效果展示

除了 ArrayList 以外,还有很多不同种类的集合。它们可以如下分类(实现了 Collection 接口的、实现了 Map 接口的)

Collection 接口)双列集合(实现 Map 接口)单列集合:
Collection接口又分为List接口(ArrayList、LinkedList) 和Set接口(TreeMap、HashMap、LinkedHashMap)List接口的特点是 存取有序、有索引、可以存储重复的Set接口的特点是 存储无序、没有索引、不可以存储重复的
Collection 通用接口方法

通过多态实现调用拥有方法,发现 Set 和 List 接口的不同
import java.util.ArrayList;
import java.util.Collection;
import java.util.HashSet;
public class test1 {
public static void main(String[] args) {
// 以多态的形式创建集合对象 调用集合中的共有方法
Collection<String> a = new ArrayList<>();
boolean b1 = a.add("a");
boolean b2 = a.add("a");
boolean b3 = a.add("a");
System.out.println(b1); // true
System.out.println(b2); // true
System.out.println(b3); // true
System.out.println(a); // ["a","b","c"]
Collection<String> b = new HashSet<>();
boolean b4 = b.add("a");
boolean b5 = b.add("a");
boolean b6 = b.add("a");
System.out.println(b4); // true
System.out.println(b5); // false
System.out.println(b6); // false
System.out.println(b); // ["a"]
}
}后置总结
当你了解各个单列集合后,可以查阅下方内容
- 如果想要集合中的元素可重复使用
ArrayList集合,基于数组用的最多 - 如果想要集合中的元素可重复,而且增删操作多于查询,使用
LinkedList集合 - 如果想对集合中的元素去重,使用
HashSet集合(基于哈希表) - 如果相对集合中的元素去重而且保证存储顺序,使用
LinkedHashSet集合(效率低于HashSet)

通过调用 Collection 接口实现多态,让 ArrayList 或者 HashSet 类都过滤出 Collection 提供的共有规则的对应方法。remove 和 contains 底层依赖对象的 equals 方法
import java.util.Collection;
private static void demo1() {
Collection<String> c = new ArrayList<>();
c.add("a");
c.add("b");
c.add("c");
System.out.println(c.toString());
System.out.println(c.isEmpty()); // 是否为空:false
System.out.println(c.contains("c")); // 是否包含 "c" :true
Collection<String> d = new HashSet<>();
d.add("a");
d.add("a"); // 重复的数据不会加入到 HashSet 集合中
System.out.println(d.toString());
System.out.println(d.isEmpty());
d.clear(); // 清除所有元素
System.out.println(d.isEmpty()); // 是否为空:true
}如果自定义类的数组需要实现删除或者判断是否存在某元素,需要自定义类覆写 equals 方法。(不然默认情况下类的 equals 函数只做地址比较)
remove 和 contains 等类函数调用子项类的 equals 函数做决策
package cn.smmcat.test;
import java.util.Objects;
public class student {
private String name;
private int age;
// ...
@Override
public boolean equals(Object o) {
if (this == o) return true;
if (o == null || getClass() != o.getClass()) return false;
student student = (student) o;
return age == student.age && Objects.equals(name, student.name);
}
}import java.util.Collection;
public static void main(String[] args) {
Collection<student> a = new ArrayList<>();
a.add(new student("张三", 22));
a.add(new student("李四", 12));
a.add(new student("王五", 26));
System.out.println(a);
// 判断是否存在指定元素:类名、值一致
System.out.println(a.contains(new student("王五", 26))); // true
// 删除指定元素:类名、值一致
a.remove(new student("李四", 12));
// [Student{name = 张三, age = 22}, Student{name = 王五, age = 26}]
System.out.println(a);
}通用遍历方案
使用 Collection.iterator() 迭代器的 next() 或 hasNext() 实现集合的遍历
import java.util.Collection;
public class arrayTest {
public static void main(String[] args) {
Collection<Student> array = new ArrayList<>();
array.add(new Student("张三", 22));
array.add(new Student("李四", 12));
array.add(new Student("王五", 26));
Iterator<Student> it = array.iterator();
System.out.println(it.next());
System.out.println(it.next());
System.out.println(it.next());
// System.out.println(it.next()); 没有元素 会报错
// 通过 Iterator.hasNext() 可判断迭代器中是否仍有元素并返回布尔值 避免报错
// 一般该操作搭配 while
if(it.hasNext()){
// 不执行
System.out.println(it.next());
}
}
}效果展示

或者使用 Collection.iterator().forEachRemaining(<T>) 迭代器实现集合的遍历(底层编译后其实也是迭代器)
import java.util.Collection;
public class arrayTest {
public static void main(String[] args) {
Collection<Student> array = new ArrayList<>();
array.add(new Student("张三", 22));
array.add(new Student("李四", 12));
array.add(new Student("王五", 26));
// 类似 Collection.forEach
array.iterator().forEachRemaining((s) -> {
// 依次打印所有内容
System.out.println(s);
});
}
}效果展示

使用增强 for 循环 (底层编译后其实也是迭代器)
import java.util.Collection;
public class arrayTest {
public static void main(String[] args) {
Collection<Student> array = new ArrayList<>();
array.add(new Student("张三", 22));
array.add(new Student("李四", 12));
array.add(new Student("王五", 26));
for (Student student : array) {
System.out.println(student);
}
}
}效果展示


List 接口的特点:存取有序、有索引、可以存储重复
public class Test01 {
public static void main(String[] args) {
List<String> str = new ArrayList<>();
str.add("张三");
str.add("李四");
str.add("王五");
System.out.println(str);
// 指定位置获取元素
System.out.println(str.get(2));
// 指定位置添加元素
str.add(0, "老刘");
// 指定位置修改元素
str.set(1, "刘醒");
// 指定位置删除元素
str.remove(1);
System.out.println(str);
}
}效果展示

若 list.remove() 直接传入需要删除的整数数值而不是下标。需要手动 Integer 装箱才可识别为内容元素
import java.util.ArrayList;
import java.util.List;
public class Test01 {
public static void main(String[] args) {
List<Integer> nums = new ArrayList<>();
nums.add(111);
nums.add(222);
nums.add(666);
nums.remove(Integer.valueOf(222));
System.out.println(nums);
}
}效果展示

遍历方式
List 集合的便利方式有:迭代器、增强或者普通for循环、foreach、ListIterator
import java.util.ArrayList;
import java.util.List;
import java.util.ListIterator;
public class Test01 {
public static void main(String[] args) {
List<Integer> nums = new ArrayList<>();
nums.add(111);
nums.add(222);
nums.add(666);
nums.remove(Integer.valueOf(222));
System.out.println(nums);
// 增强 for循环
for (Integer num : nums) {
System.out.println(num);
}
// list 特有迭代器,它扩展了普通的 Iterator 接口
ListIterator<Integer> it = nums.listIterator();
while (it.hasNext()) {
Integer s = it.next();
System.out.println(s);
}
// 如果要进行逆向遍历,需要:
// 1. 重新获取List迭代器并指定起始位置为末尾
// 2. 或者使用其他方式逆向遍历
ListIterator<Integer> reverseIt = nums.listIterator(nums.size());
while (reverseIt.hasPrevious()) {
Integer s = reverseIt.previous();
System.out.println(s);
// 不允许在迭代器中操作 添加、删除方法,会触发异常
// [并发修改异常]:ConcurrentModificationException
// nums.remove(Integer.valueOf(666));
// 如果需要删除指定内容(例如 111),则可以使用迭代器的删除函数
if (s == 111) {
reverseIt.remove();
// 同理,如果需要在删除后的当前位置添加,使用List迭代器提供的 add 函数
reverseIt.add(8899);
}
}
}
}效果展示

数据结构(栈结构、队列结构)

【栈(Stack)】:后进先出(LIFO)——像叠盘子,最后放的先拿走
【队列(Queue)】:先进先出(FIFO)——像排队,先来的先服务
数据结构(数组)

数组通过索引来直接访问它内部的元素,其内存是连续区域,因此根据这个特性有优缺点:
【优点】:查询速度快,查询数据通过地址值和索引定位,查询任意数据耗时相同
【缺点】:增删效率低,新增或者删除数据时,都有可能大批量移动数据中其他元素
数据结构(链表)

链表中的节点是独立的对象,在内存中是不连续的。每个节点包含数据值和下一个结点的地址(当有新数据插入时,会链接到上一个节点后面)
链表的特点是:改得快,查得慢,查到位置后增删快(需要从头遍历)
LinkedList 并不常用,它与 ArrayList 大致只是底层数据结构不同:ArrayList 是动态数组,随着数组长度自动扩容,它是连续内存空间(连续存储,访问快,修改慢);
而 LinkedList 是非连续内存空间(节点链接),基于 双向链表结构实现(分散存储,访问慢,修改快);
LinkedList 双向链表示意图

LinkedList 底层基于双链表实现,因此查询元素慢、增删首尾元素非常快(与单链表不同,双链表前后都有上或者下一个节点地址)

特有方法体验
package cn.smmcat.test01;
import java.util.LinkedList;
public class LinkListTest {
public static void main() {
LinkedList<String> list = new LinkedList<>();
// 在 LinkedList 数组最前面插入
list.addFirst("张三");
list.addFirst("李四");
list.addFirst("王五");
// 在LinkedList 数组最后面插入
list.addLast("老六");
System.out.println(list);
// 删除 LinkedList 数组第一个元素
list.removeFirst();
// 删除LinkedList 数组最后一个元素
list.removeLast();
System.out.println(list);
}
}效果展示

说明
JDK5 引入泛型体系,可以在编译阶段约束操作的数据类型,并进行检查;
它可以统一数据类型,将运行期的错误提升到了编译期。提前预知可能存在的潜在代码错误并提高代码可读性。
// 不约束泛型时,默认 add 传入的参数限制是 Object 类型
ArrayList ls = new ArrayList();
ls.add(10);
ls.add("你好");
// 通过泛型 <String> 约束了数组的值必须为 字符串类型
ArrayList<String> list = new ArrayList<>();
list.add("张三");
list.add("李四");
list.add(33); // 编译阶段报错,无法添加非字符串类型若不约束泛型,编译期间无法检测存在的异常操作,即并不会有任何报错提示
package cn.smmcat.test01;
import java.util.ArrayList;
import java.util.Iterator;
import java.util.Random;
public class Test {
public static void main() {
ArrayList list = new ArrayList();
list.add("张三");
list.add("李四");
list.add(new Random()); // 存入 Random 类
Iterator it = list.iterator();
while (it.hasNext()) {
Object o = it.next();
String i = (String) o; // 强制转换为 String 类型 失败则会报错
System.out.println(i.length());
}
}
}效果展示

运行时报错
声明泛型类
在声明类时,可以通过 <标识> 去约束该类所指定的类型。这样的类叫做泛型类,而泛型类在创建对象的时候才能确定类型。
(在创建该类的对象时,需要指定具体的类型参数值,从而确定该类中使用的实际类型。这样既保证了类型安全,又提高了代码的复用性)
一般泛型的表示字符分为:E(Element)、T(Type)、K(Key 键)、V(Value 值)
class Student<E> {
private E a;
public E getA() {
return a;
}
public void setA(E a) {
this.a = a;
}
}效果展示

在使用泛型声明时,对应的函数会有类型约束
声明泛型方法
- 非静态方法:内部的泛型,会根据类的泛型去匹配(如上
public void setA(E a)...) - 静态方法:静态方法中如果加入泛型,必须声明出自己独立的泛型(如下展示),它在调用方法传入参数时,确定具体类型
泛型只能传入引入数据类型,不能传入基本数据类型(例如:int[])
package cn.smmcat.test01;
import java.util.ArrayList;
public class Test {
public static void main() {
Integer[] i = {2,3,4,5,1,3};
String[] s = {"张三","李四"};
printArray(i);
printArray(s);
}
// 声明静态泛型方法
public static <T> void printArray(T[] a) {
System.out.print("[");
for (int i = 0; i < a.length - 1; i++) {
System.out.print(a[i] + ",");
}
System.out.println(a[a.length - 1] + "]");
}
}效果展示

静态泛型方法会自动匹配对应类型
声明泛型接口
- 实现类:实现接口的时候确定到具体的类型
- 实现类实现接口:没有指定具体类型,就让接口的泛型,跟着接类的泛型去匹配
// 声明泛型接口 不确定需要传入的类型用 E 代替
interface Inter<E> {
void show(E e);
}
// 继承泛型接口的类若确定传入的类型,直接填写对应类型即可
class InterAImpl implements Inter<String> {
@Override
public void show(String string) {
// ...
}
}
// 继承泛型接口的类若也不确定类型,同样也可以使用 E 代替
class InterAImpl2<E> implements Inter<E> {
@Override
public void show(E e) {
// ...
}
}public class Test {
public static void main() {
InterAImpl i = new InterAImpl();
i.show("Hello");
InterAImpl2<String> o = new InterAImpl2<>();
o.show("hello");
}
}泛型通配符 & 泛型限定
泛型通配符 ? 用于表示未知类型,主要用在方法参数中,表示可以接受多种泛型类型的参数
无界通配符 <?>
// 通配符的基本使用
public void processList(List<?> list) {
// 可以接受任何类型的 List
for (Object obj : list) {
System.out.println(obj);
}
}- 表示任意类型
- 只能读取,不能写入(除了
null)
上界通配符 <? extends T>
abstract class Employee {
abstract void word();
}
class Coder extends Employee {
@Override
void word() {
// ...
}
}
class Manager extends Employee {
@Override
void word() {
// ...
}
}public class FanxingDemo {
static void main() {
ArrayList<Coder> a = new ArrayList<>();
ArrayList<Manager> b = new ArrayList<>();
ArrayList<String> c = new ArrayList<>();
method(a);
method(b);
// method(c); 报错,类型限制
}
// 限制传入的参数只能或者继承 Employee 类
public static void method(ArrayList<? extends Employee> list) {
for (Employee i : list) {
i.word();
}
}
}- 表示T或T的子类
- 只能读取,不能写入(除了
null)
下界通配符 <? super T>
public class FanxingDemo {
static void main() {
ArrayList<Coder> a = new ArrayList<>();
ArrayList<Manager> b = new ArrayList<>();
ArrayList<String> c = new ArrayList<>();
ArrayList<Object> d = new ArrayList<>();
method(a);
// method(b); 报错,不是 Coder 或者其 父类
// method(c); 报错,不是 Coder 或者其 父类
method(d); // Object 是 Coder 父类
}
public static void method(ArrayList<? super Coder> list) {
for (Object i : list) {
Coder o = (Coder) i;
o.word();
}
}
}- 表示T或T的父类
- 可以写入T及其子类,读取时返回Object
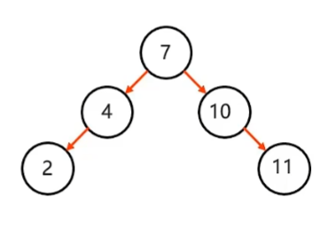
二叉树(Binary Tree)
- 每个节点最多有两个子节点(左子节点和右子节点)
- 没有排序规则,查找性能较低
- 它存储数据的形式像倒过来的树杈一样

二叉查找树(Binary Search Tree, BST)
- 左子树所有节点的值 < 根节点的值
- 右子树所有节点的值 > 根节点的值
- 左右子树也都是BST(二叉搜索树/查找树)

树节点(Node)
- 节点由 值、父节点地址、左子节点地址、右子节点地址组成
- 度:每个子节点数量,树高:树的总层数

数据结构(树)
对树的数据结构总的各种名词进行视图解释

平衡二叉树(AVL树)
- 是BST(二叉搜索树/二叉查找树)
- 每个节点的左右子树高度差不超过1(平衡因子 ∈ {-1, 0, 1})
- 通过旋转操作保持平衡,让树高尽可能的缩短,提高查询性能




实现旋转步骤 – 左旋情况1
- 确定支点:从添加的节点开始不断往父节点找不平衡的节点
- 把支点向左旋降级,变成左子节点
- 晋升原来的右子节点

实现旋转步骤 – 左旋情况2
- 以不平衡的点作为支点
- 将根节点的右侧往左拉
- 原先的右子节点变成新的父节点,并把多余的左子节点出让,给已经降级的根节点当右子节点

实现旋转步骤 – 右旋情况1
- 确定支点:从添加的节点开始不断往父节点找不平衡的节点
- 把支点向右旋降级,变成右子节点
- 晋升原来的左子节点

实现旋转步骤 – 右旋情况2
- 以不平衡的点作为支点
- 将根节点的左侧往右拉
- 原先的左子节点变成新的父节点,并把多余的右子节点出让,给已经降级的根节点当左子节点

多次旋转实现平衡
不同情况下可能需要多次进行旋转,一般是先局部旋转后再整体旋转:

红黑树(Red-Black Tree)
红黑树是一种自平衡的二叉查找树,具有以下五个核心性质:
- 每个节点是红色或黑色
- 根节点是黑色
- 所有叶子节点(NIL节点)是黑色
- 红色节点的两个子节点都是黑色(不能有两个连续的红色节点)
- 从任一节点到其每个叶子节点的所有路径都包含相同数目的黑色节点
- 红黑树不是高度平衡的,它的平衡是通过“红黑规则”进行实现

添加节点的规则
红黑树在添加节点的时候,添加的节点默认是红色的

接下来以动画的方式展示红黑树的添加步骤:

特点
TreeSet 是 Java 集合框架中的一个重要实现类,它基于 红黑树(Red-Black Tree) 实现。
TreeSet 是 Java 中需要排序和范围查询时的最佳选择, 用 “稍微慢一点” 的查找速度 换来了强大的有序集合操作能力
- 有序集合 – 元素自动排序(默认升序)
- 基于红黑树 – 自平衡二叉查找树实现
- 不允许重复 – 自动去重
- 查找高效 – O(log n) 时间复杂度
- 线程不安全 – 需要外部同步
- 元素需可比较 – 要么实现 Comparable,要么提供 Comparator
基本使用 (存储、排序和去重)
import java.util.TreeSet;
public class TreeSetDemo {
static void main() {
TreeSet<String> ts = new TreeSet<>();
ts.add("b");
ts.add("c");
ts.add("a");
ts.add("e");
ts.add("e"); // 尝试多添加重复数据
System.out.println(ts);
}
}效果展示

自动实现排序、去重(String 类已实现了 compareTo 方法进行的排序)
定制排序(实现自然排序)
若需要让类放入 TreeSet 集合并实现自然排序,必须实现 Comparable 接口。Comparable 接口需要指定泛型类型,一般指定为当前类本身,表示该类可以与自己同类型的对象进行比较;
Comparable 接口需要实现 compareTo,并且返回一个数值,其中数值的返回决定了:
- 负数:a < b (a 排在 b 前面 [左边])
- 零:a == b (视为相等,TreeSet 不会添加)
- 正数:a > b (a 排在 b 后面 [右边])
public class Student implements Comparable<Student> {
private String name;
private int age;
public Student() {
}
public Student(String name, int age) {
this.name = name;
this.age = age;
}
@Override
public int compareTo(Student o) {
// 实现基于 age 的值从大到小排序的比较
// o 是树中已存在的节点(比较对象)
// this 是要添加的新节点(当前对象)
return this.age - o.age; // 升序,而 o.age - this.age 为降序
}
public String toString() {
return "[" + name + "," + age + "]";
}
}public class TreeSetDemo {
static void main() {
TreeSet<Student> ts = new TreeSet<>();
ts.add(new Student("张三", 21));
ts.add(new Student("李四", 14));
ts.add(new Student("王五", 24));
ts.add(new Student("赵六", 13));
ts.add(new Student("宋七", 25));
System.out.println(ts);
}
}实际业务中,还需要对 comparaTo 进行更多的比较配置,避免忽略存储(仅做参考)
@Override
public int compareTo(Student o) {
int ageResult = this.age - o.age;
int result = ageResult != 0 ? ageResult : o.name.compareTo(this.name);
// 对同名、同岁情况进也行排序
return result == 0 ? 1 : result;
}效果展示

TreeSet 集合根据了 Student 类的 age 进行从小到大排序

底层 TreeSet 存储的结构
- 小的左边走
- 大的右边走
- 一样的不存
(而取出顺序是从红黑树的最左到中到右依次提取)
比较器排序(覆盖默认排序规则)
在 TreeSet 的构造方法中,传入 Compartor 接口实现类对象。重写 compare 方法,根据方法返回值,来主动改变组织排序规则,而返回值的规则与 compareTo 一致。
优先级规则
- 有 Comparator:使用 Comparator 的
compare()方法 - 无 Comparator:使用元素的
compareTo()方法 - 两者都有:Comparator 优先,Student 的 compareTo 被忽略
import java.util.Comparator;
import java.util.TreeSet;
public class TreeSetDemo {
static void main() {
TreeSet<Student> ts = new TreeSet<>(new Comparator<Student>() {
@Override
public int compare(Student o1, Student o2) {
// o1 相当于遍历的每个类(当前对象)
// 02 相当于已存在的节点(比较对象)
return o1.getAge() - o2.getAge();
}
});
ts.add(new Student("张三", 21));
ts.add(new Student("李四", 14));
ts.add(new Student("王五", 24));
ts.add(new Student("赵六", 13));
ts.add(new Student("老七", 25));
System.out.println(ts);
}
}效果展示

当 TreeSet 构造函数传入 Comparator 时,会完全忽略元素的 compareTo 方法
HashSet 集合底层采取哈希表存储数据(哈希表是一种对于增删改查数据性能都较好的结构)
JDK8版本之前:数组+链表JDK8版本之后:数组+链表+红黑树- (当数组元素达到 len * 0.75,扩容原长度两倍;当链表挂载元素超过了8(阔值)个,数组长度到达64,链表转红黑树)
放入 HashSet 集合的元素必须正确实现 hashCode() 和 equals()
存储原理
当添加对象的时候,会先调用对象的 hashCode 方法计算出一个应该存入的索引位置,查看该位置上是否存在元素。
- 若不存在则直接存,若存在则调用
equals方法去比较内容 - 若返回
false则以链表方式在上一个数据下存储。若为true则忽略存入

如果 hashCode 方法固定返回相同的值,数据都会挂在同一个索引下面。(上面是展示若所有数据的 hashCode 均返回 2 的情况,此 2 不是指下标 2)
import java.util.Objects;
public class Student {
private String name;
private String age;
@Override
public boolean equals(Object o) {
if (o == null || getClass() != o.getClass()) return false;
Student student = (Student) o;
System.out.println(this.name + "与" + student.getName() + "进行了 equals 比较");
return Objects.equals(name, student.name) && Objects.equals(age, student.age);
}
@Override
public int hashCode() {
return 2;
}
public String toString() {
return "[" + name + "," + age + "]";
}
// ...
}import java.util.HashSet;
public class Test01 {
static void main() {
HashSet<Student> hs = new HashSet<>();
hs.add(new Student("张三",22));
hs.add(new Student("李四",11));
hs.add(new Student("王五",16));
hs.add(new Student("王五",16));
System.out.println(hs);
}
}效果展示

通过类给定 hashCode 的值,实现更高效率的查询功能。(根据年龄和姓名进行归类,类似归类标签效果)
import java.util.Objects;
public class Student {
private String name;
private int age;
// ...
@Override
public int hashCode() {
// String类重写过 hashCode() 是根据每个字符进行计算
// 存在 文字不同,hashCode 值相同的情况
// 每个类默认的 hashCode 中,已经使用 Objects.hash() 实现
return age + name.hashCode();
}
}import java.util.HashSet;
public class Test01 {
static void main() {
HashSet<Student> hs = new HashSet<>();
hs.add(new Student("张三",22));
hs.add(new Student("李四",11));
hs.add(new Student("王五",16));
hs.add(new Student("王五",16));
System.out.println(hs);
}
}效果展示

存储只做了一次比较操作

用途场景
HashSet 集合有极高的查询效率,通过元素的 hashCode 进行归类的元素可以减少遍历的次数就能找到目标,并且自动去重,且允许 null 值,
而 HashCode 就是给数据做“归类标签”。
HashSet 的主要优点:
- 极快的查找速度(就像查字典 – 直接翻到那一页,不用一页页翻)
- 自动去重,节省内存和代码
- 高效的集合操作
- 灵活配置(容量、负载因子)
- 允许 null 值
适用场景:
- 需要快速查找、去重的场景
- 不关心元素顺序
- 频繁进行
contains()检查 - 进行集合运算(交集、并集等)
不适用场景:
- 需要元素按特定顺序排列
- 需要保持插入顺序(用 LinkedHashSet)
- 需要自然排序或自定义排序(用 TreeSet)
- 多线程环境(需要额外同步)
深入解析
当创建 HashSet 集合时,会创建一个默认长度 16 的数组,数组名 table,之后:
- 根据元素的哈希值跟数组的长度求余计算出应存入的位置
- 创建
hashSet集合时,内部会存在一个长度为16个大小的数组 - 调用集合添加方法,会拿着对象的
hashCode方法计算出存入索引位置(哈希值%数组长度) - 实际索引位置操作中进行了位移运算等各种操作,目的是为了尽量让哈希的随机选择更散乱
- 创建
- 判断当前位置是否为
null,如果是null直接存入 - 如果位置不为
null,标识有元素,则调用equals方法比较 - 如果一样,则不存,如果不一样,则存入数组
JDK7新元素占老元素位置,指向老元素(头插法)JDK8新元素挂在老元素的下面(尾插法)
与 HashSet 的实现基本一致,只是多了双链表机制记录存储顺序
LinkedHashSet 是一个有序、不重复、无索引 的 Set 集合(它也是 Set 集合当中唯一支持排序的集合),
底层数据结构是哈希表,只是每个元素额外多了双链表机制记录存储的顺序

核心价值
- 有序性:在需要Set的去重特性同时保持插入顺序时,是最佳选择
- 性能平衡:在顺序需求和哈希性能之间取得良好平衡
- API一致性:完全兼容Set接口,可无缝替换HashSet
与 HashSet 集合区别
- 顺序维护:
LinkedHashSet维护插入顺序,HashSet不保证顺序 - 性能差异:
LinkedHashSet迭代更快,添加/删除略慢 - 内存占用:
LinkedHashSet需要额外空间维护链表 - 底层实现:
LinkedHashSet使用LinkedHashMap,HashSet使用HashMap
集合选择方案
- 需要保持插入顺序 → LinkedHashSet
- 只需要快速查找、去重,不关心顺序 → HashSet
- 需要排序 → TreeSet
可变参数(Variable Arguments,简称 Varargs)是 Java 5 引入的特性,允许方法接受零个或多个相同类型的参数。
可变参数让 Java 方法调用更加灵活,特别适合:
- 工具类方法(如日志、断言、字符串处理)
- 需要处理不定数量参数的场景
- 替代方法重载的简单情况
但要注意:
- 可变参数必须是最后一个参数
- 每次调用都会创建新数组(性能敏感时需注意)
- 重载时可能产生歧义
基本语法
// 使用 ... 语法
public void methodName(Type... parameterName) {
// 在方法内部,parameterName 是一个数组
}使用可变参数
实现传入任意数量的数值进行累加并返回累加的值的操作
public class Test01 {
static void main() {
// getNum 允许传入任意数量的数值,或者不传
System.out.println(getNum(1));
System.out.println(getNum(1, 2));
System.out.println(getNum(1, 2, 3));
// 甚至也可以允许传入 int 数组
System.out.println(getNum(new int[]{1, 2, 3, 4, 5}));
}
public static int getNum(int... nums) {
int total = 0;
for (int num : nums) {
total += num;
}
return total;
}
}效果展示

可变参数 + 其他参数
如果除了传入可变参数,还需要传入其他的参数,需要将可变参数放置末尾实现接收
public class Test01 {
static void main() {
System.out.println(getNum("得到的结果是:", 1));
System.out.println(getNum("得到的结果是:", 1, 2));
System.out.println(getNum("得到的结果是:", 1, 2, 3));
System.out.println(getNum("数组值总和是:", new int[]{1, 2, 3, 4, 5}));
}
public static String getNum(String msg, int... nums) {
int total = 0;
for (int num : nums) {
total += num;
}
return msg + total;
}
}效果展示

java.utils.Collections 是工具集合类,Collections 并不属于集合,是用来操作集合的工具类。

批量添加元素
通过 Collections.addAll 实现对数组的内容批量添加元素
import java.util.ArrayList;
import java.util.Collections;
public class CollectionsTest {
static void main() {
ArrayList<String> list = new ArrayList<>();
Collections.addAll(list, "a", "b", "c", "d");
System.out.println(list);
}
}效果展示

如果提供的数组的元素具有唯一性,例如 TreeSet 集合,也会自动去重
import java.util.Collections;
import java.util.TreeSet;
public class CollectionsTest {
static void main() {
TreeSet<String> list = new TreeSet<>();
Collections.addAll(list, "b", "c", "d", "d");
System.out.println(list);
}
}效果展示

打乱数组
使用 Collections.shuffle 传入 List 数组会实现数组元素顺序的打乱
import java.util.ArrayList;
import java.util.Collections;
public class CollectionsTest {
static void main() {
ArrayList<String> list = new ArrayList<>();
list.add("a");
list.add("b");
list.add("c");
list.add("d");
Collections.shuffle(list); // 打乱数组
System.out.println(list);
}
}效果展示

二分查找法查找元素
使用 Collections.binarySearch 对已排好序的数据进行更高效快速的查找方式去获取指定的数据下标
import java.util.ArrayList;
import java.util.Collections;
public class CollectionsTest {
static void main() {
ArrayList<Integer> list = new ArrayList<>();
Collections.addAll(list, 1, 2, 3, 4, 5, 6);
// 通过二分查找法,快速找到指定元素的下标
System.out.println(Collections.binarySearch(list, 3));
}
}效果展示

获取最大值/最小值
使用 Collections.max 或者 Collections.min 根据默认的自然排序获取数组中的最大值 max 或 最小值 min
import java.util.ArrayList;
import java.util.Collections;
public class Test02 {
public static void main(String[] args) {
ArrayList<Integer> list = new ArrayList<>();
Collections.addAll(list, 8, 5, 1, 3, 4, 78, 3, 1);
// 获取整数数组中最大值
System.out.println(Collections.max(list));
}
}效果展示

如果数组中存的是用户自定义类,需实现 Comparable 接口的 compareTo 方法实现底层规则
public class Student implements Comparable<Student>{
private String name;
private int age;
// ...
public String toString() {
return "[" + name + "," + age + "]";
}
@Override
public int compareTo(Student o) {
return this.age - o.age;
}
}import java.util.ArrayList;
import java.util.Collections;
public class Test02 {
static void main() {
ArrayList<Student> list = new ArrayList<>();
Collections.addAll(list,new Student("张三",22),new Student("李四",34));
System.out.println(Collections.max(list));
System.out.println(Collections.min(list));
}
}效果展示

交换元素
使用 Collections.swap 交换集合中指定位置的元素
import java.util.ArrayList;
import java.util.Collections;
public class Test02 {
static void main() {
ArrayList<String> list = new ArrayList<>();
Collections.addAll(list, "a", "b", "c", "d");
Collections.swap(list, 0, 1);
System.out.println(list);
}
}效果展示

对集合进行排序
使用 Collections.sort 对集合进行排序操作。若对自定义类型 List 集合进行排序需实现 Comparable 接口
import java.util.ArrayList;
import java.util.Collections;
public class Test02 {
static void main() {
ArrayList<Integer> list = new ArrayList<>();
Collections.addAll(list, 1, 3, 6, 5, 2, 4);
Collections.sort(list);
System.out.println(list);
}
}效果展示

若要自定义排序规则,可在 Collections.sort 的参数二中重构 Comparator 比较器规则
import java.util.ArrayList;
import java.util.Collections;
import java.util.Comparator;
public class Test02 {
static void main() {
ArrayList<Integer> list = new ArrayList<>();
Collections.addAll(list, 1, 3, 6, 5, 2, 4);
Collections.sort(list, new Comparator<Integer>() {
@Override
public int compare(Integer o1, Integer o2) {
// 实现降序
return o2 - o1;
}
});
System.out.println(list);
}
}效果展示

Map 是 Java 集合框架中用于存储键值对(Key-Value) 的数据结构。
主要特点
- Map 集合是一种双列集合,每个元素包含两个数据,格式是
key = value(键值对元素) - 键(Key)不能重复,值(Value)可以重复
- 每个键最多映射到一个值,key + value 这个整体在
JAVA中使用Entry对象表示 - 键和值都可以为 null(某些实现类有限制)
| Map 常用 api | 说明 |
|---|---|
public V put(K key, V value) | 添加元素 |
public V remove(Object key) | 根据键删除键值对元素 |
public viod clear() | 移除所有的键值对元素 |
public boolean containsKey(Object key) | 判断集合是否包含指定的键 |
public boolean containsValue(Object key) | 判断集合是否包含指定的值 |
public boolean isEmpty() | 判断集合是否为空 |
public int size() | 集合长度(集合中键值对个数) |
基本使用
TreeMap 或者 LinkedHashMap 是通过类中 hashCode() 和 equale() 去判断键是否唯一
import java.util.HashMap;
import java.util.Map;
public class Test03 {
static void main() {
Map<String,String> map = new HashMap<>();
map.put("name", "smmcat");
map.put("name", "aipo"); // 同一个键的值会覆盖上一个
map.put("age", "28");
System.out.println(map.get("name"));
System.out.println(map);
// 删除某个属性
map.remove("name");
System.out.println(map);
// 判断是否为空
System.out.println(map.isEmpty()); // false
System.out.println(map.size()); // 1
// 移除所有的键值对
map.clear();
System.out.println(map);
System.out.println(map.isEmpty()); // true
System.out.println(map.size()); // 0
}
}效果展示

其他数据结构
双列集合还有其他不同底层数据结构的集合(HashMap、TreeMap、LinkedHashMap),都是针对键有效,跟值没关系。
HashMap键唯一 (重写hashCode和equals方法)TreeMap键排序(需实现Comparable接口)LinkedHashMap键唯一,且可以保证存储顺序
遍历 Map 集合
| 方法名称 | 说明 |
|---|---|
V get(Object key) | 根据键查找对应的值 |
Set<K> KeySet() | 获取 Map 集合中所有的键 |
Set<Map.Entry<K,V>> entrySet() | 获取集合中所有的键值对对象 |
通过使用 KeySet 遍历展示或者操作 Map 集合的每一项数据
import java.util.HashMap;
import java.util.Map;
import java.util.Set;
import java.util.function.BiConsumer;
public class Test03 {
static void main() {
Map<String, Object> target = new HashMap<>();
target.put("name", "smm");
target.put("hp", 100);
target.put("mp", 100);
target.put("atk", 12);
// 第一张遍历方式
target.keySet().forEach((i) -> {
System.out.println(i + ":" + target.get(i));
});
// 第二种遍历方式
Set<String> strings = target.keySet();
for (String string : strings) {
System.out.println(string + ":" + target.get(string));
}
// 第三种遍历方式
Set<Map.Entry<String, Object>> entries = target.entrySet();
for (Map.Entry<String, Object> entry : entries) {
System.out.println(entry.getKey() + ":" + entry.getValue());
}
// 第四种遍历方式
target.forEach(new BiConsumer<String, Object>() {
@Override
public void accept(String key, Object value) {
System.out.println(key + ":" + value);
}
});
}
}效果展示
